Calcul littéral : corrigé des exercices de maths en 2de.
Mis à jour le 27 septembre 2025
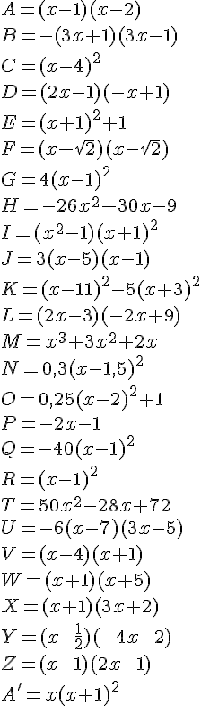
EXERCICE 1 :
EXERCICE 2 :
EXERCICE 3 :
EXERCICE 4 :
EXERCICE 5 :
EXERCICE 6 :
EXERCICE 7 :
EXERCICE 8 :
EXERCICE 9 :
Télécharger et imprimer ce document en PDF gratuitement :
Vous avez la possibilité de télécharger puis d'imprimer gratuitement ce document «calcul littéral : corrigé des exercices de maths en 2de.» au format PDF.
Ressources de seconde
Cours de seconde
Exercices de seconde
D'autres cours et exercices à consulter
L'équipe Mathovore
12 Enseignants Titulaires
Collectif d'enseignants titulaires de l'Éducation Nationale, spécialisés en mathématiques en primaire, au collège, au lycée et post-bac.
Notre équipe collaborative enrichit constamment nos ressources pédagogiques.
Nos applications
Téléchargez gratuitement la dernière version de nos applications.


















